近年,世界的なペプチド薬品市場は持続的な急速な成長を経験し,複数の治療分野でユニークな利点を示しています.しかし,既存の合成システムは,副反応を制御し,キラル純度を維持する課題を含む重要な技術的なボトルネックに直面しています.アミド結合を構築するためのコア試薬として,その性能は結合形成効率,製品の純度,および収量に直接影響します.その結果,ペプチド合成試薬の革新的な開発は,大きな注目を集めています.
多くの凝縮試薬のうち,HATUなどのイオン凝縮試薬は,高反応性と優れたレーセミゼーション抑制のために広く使用されています.しかし、これらの試薬は高エネルギーの異原子結合(N-NおよびN-O結合など)を含み、熱安定性が悪く、潜在的な安全リスクをもたらします。これに対処するために、Kunishimaのチームは、DMT-TUと略称される新しい凝縮試薬2-(4,6-dimethoxy-1,3,5-triazin-2-yl)-1,1,3,3-tetramethyluronium hexafluorophosphateを開発した。
1. DMT-TUの分子特性:
DMT-TUは,DMTMMのテトラメチルウレア構造の高反応性とトリアジン構造の容易離脱性を革新的に組み合わせています (図1の構造を参照).それは高い反応性とRacemizationを抑制する能力の両方を持っています。分子には高エネルギーの異原子結合が含まれておらず、安定性を向上させる。実験では、冷蔵庫に1年間保管した後も安定していることが示されています。
表から見えるように,DMT-TUの分解温度はHATUの分解温度と比較できますが,その総放出熱は凝縮試薬よりはるかに低く,使用と保管中により安全性が高いことを示しています.
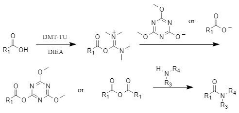
2. DMT-TUの作用メカニズム:
DMT-TUの作用メカニズムは次の通りです:カルボキシル酸は基質の存在下でDMT-TUと反応し,O-アシリスウレアを形成し,その後,トリアジン酸またはカルボキシル酸とさらに反応し,対応するトリアジンエステルまたはカルボキシル酸無水化物を形成し,最後にアミノ解解してアミド化合物を得ます.
3. DMT-TUの機能:
1. 非常に効率的なカップリング能力:
DMT-TUは効率的にアミド結合を構築することができ,反応収量が一般的に80%を超える芳香性基板とアリファス基板の両方に適しています(詳細は図を参照).アニリン/ディエチラミンとモデル基板としてのフェニルプロピオン酸の反応では,DMT-TUを使用して90%を超える収益率が達成されました.同じ条件下で,DMTMMを使用して対応するアミド収益率はそれぞれ73%と68%でした.これは、DMT-TUが優れた反応性を示していることを示しています。
4. 優れたracemization抑制性能
高反応性に加えて,優れた凝縮試薬は強力なレーセミゼーション抑制能力を持つ必要があります.Racemizableアミノ酸基板の比較実験では、DMT-TUは優れたracemization抑制を示し、HATUやHBTUのような伝統的な試薬よりも低いracemization比を達成した(図4参照)。
要約すると,新しい凝縮試薬DMT-TUは,巧妙な分子設計によって高活性と高安全性の組み合わせを達成します.潜在的な産業用凝縮試薬であり,ペプチド合成技術のさらなる開発のための新しいアイデアも提供します.重要な科学研究と応用価値を持っています。
22年間の絶えず努力と蓄積の後,Haofan Bioはグローバルペプチド合成試薬の分野での根を深め続け,さまざまな顧客の特定のニーズを満たすことができる広範なカスタマイズされた製品カバージャの能力と重要な大規模生産の利点を持つ主要な会社に発展しています.この製品に興味を持つお客様は,製品に関する詳細情報および協力機会を探求するために私たちに連絡してください.
