英名:2-アミノサイクロペンタノール
中国名:2-氨基环戊醇
CAS番号:89381-13-5
分子構造:

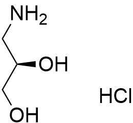
英語名:(R)-3-アミノ-1,2-プロパンジオール酸酸酸盐水
中国名:(R)-3-氨基-1,2-丙二醇盐酸盐
CAS番号:
分子構造:

英語名:(1S、2S)-N、N'-ディメチル-1,2-シクロヘキサンディアミン
中国名:(1S、2S)-N、N'-二甲基-1,2-环己烷二胺
CAS番号:87583-89-9
分子構造:

英語名:(R)-Tetrahydro-1,3,3-triphenyl-1H、3H-pyrrolo[1,2-c][1,3,2]oxaborole、99%(R)-Phenyl Oxazaborolidine
中国名:(R)-四氢-1,3,3-三苯基-1H,3H-吡咯并 [1,2-c][1,3,2]酸酸酸 [ 99%(R)]苯基恶唑硼烷
CAS番号:145238-45-5
分子構造:

英語名:(4S、5R)-5-[3,5-bis(trifluoroMethyl)phenyl]-4-Methyl-1,3-oxazolidin-2-one
中国名:(4S、5R)-5-(3,5-双)(三氟甲基)苯基)-4-甲基-1,3-噁唑烷-2-酮
CAS番号:875444-08-9
分子構造:

英語名:Trans-N、N'-Dimethylcyclohexane-1,2-Diamine
中国名:反式-N,N'-二甲基环己烷-1、2-二胺
CAS番号:67579-81-1
分子構造:

英語名:N、N'-(1R、2R)-1,2-Cyclohexanediylbis[1,1,1-trifluoromethanesulfonamide
中国名:N,N'-(1R,2R)-1,2-环己烷二基双[1,1,1-三氟甲磺酰胺
CAS番号:122833-60-7
分子構造:

英語名:(1R、2R)-trans-2-Aminocyclopentanol HCl
中国名:(1R、2R)-反式-2-氨基环戊醇盐酸盐
CAS番号:68327-11-7/31775-67-4
分子構造:

英語名:(S)-(-)-α、α-Diphenyl-2-pyrrolidonemethanoe Trimethylsilys Ether
中国名:(S)-(-)-、-二フェニル基-2-ピロルアンメタン三メチルシリキエーテル
CAS番号:848821-58-9
分子構造:

英語名:(S)-メンチルP-トルエン硫酸酸盐
中国名:(S)-对甲苯亚磺酸薄荷酯
CAS番号:1517-82-4
分子構造:

英語名:4-(ピロリジン-1-カーボニル)フェニルボロン酸
中国名:4-(ピロルアン-1-羰基)フェンジルボール酸
CAS番号:389621-81-2
分子構造:

英語名:(S)-4-Methylbezenesulfinamide
中国名:(S)-4-甲基苯亚磺酰胺
CAS番号:188447-91-8
分子構造:
