英語名:2'-Deoxycytidine-5'-diphosphate トリナトリウム塩水合物
中国名:2'-脱氧胞苷-5'-二磷酸三钠盐 (dCDP.Na3)
CAS番号:151151-32-5
分子構造:

英語名:2'-デオキシグアノジン-5'-ディホン酸二ナトリウム塩(dGDP.Na2)
中国名:2'-脱氧鸟苷-5'-二磷酸二钠 (dGDP.Na2)
CAS番号:78101-74-3
分子構造:

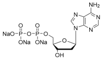
英語名:2'-デオキシアデノシン-5'-ディホン酸三ナトリウム塩(dADP.Na3)
中国名:2'-脱氧腺苷-5'-二磷酸三钠盐 (dADP.Na3)
CAS番号:402491-35-4
分子構造:

英語名:2'-デオキシノシン-5'-モノリン酸盐、ディナトリウム塩(dIMP·Na2)
中国名:2'-脱氧肌苷-5'-单磷酸二钠 (dIMP・Na2)
CAS番号:14999-52-1
分子構造:

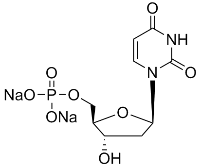
英語名:2'-デオキシュリジン-5'-モノリン酸盐、ディナトリウム塩(dUMP·Na2)
中国名:2'-脱氧尿苷-5'-单磷酸二钠 (dUMP・Na2)
CAS番号:42155-08-8
分子構造:

英語名:チミディン-5'-モノリン酸二ナトリウム塩(dTMP.Na2)
中国名:2'-脱氧胸苷-5'-单磷酸二钠 (dTMP.Na2)
CAS番号:33430-62-5
分子構造:

英語名:2'-Deoxycytidine-5'-monophosphate 自由酸
中国名:2'-脱氧胞苷-5'-单磷酸 (dCMP)自由酸)
CAS番号:1032-65-1
分子構造:

英語名:2'-デオキシグアノジン-5'-モノリン酸二ナトリウム塩
中国名:2'-脱氧鸟苷-5'-单磷酸二钠 (dGMP.Na2)
CAS番号:33430-61-4
分子構造:

英語名:2'-デオキシアデノシン-5'-モノリン酸酸自由酸
中国名:2'-脱氧腺苷-5'-单磷酸 (dAMP・自由酸)
CAS番号:653-63-4
分子構造:

英語名:2'-Deoxycytidine-3'-monophosphate 自由酸
中国名:2'-脱氧胞苷-3'-单磷酸 (3'-dCMP・自由酸)
CAS番号:6220-63-9
分子構造:

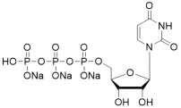
英語名:ウリジン5'-トリホン酸三ナトリウム塩
中国名:尿苷-5'-三磷酸三钠 (UTP.Na3)
CAS番号:19817-92-6
分子構造:

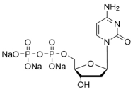
英語名:Cytidine 5'-triphosphate disosodium salt
中国名:胞苷-5'-三磷酸二钠 (CTP.Na2)
CAS番号:36051-68-0
分子構造:
